• Предмет: Алгебра
  • Автор: mipotdasha5277
  • Вопрос задан 7 лет назад

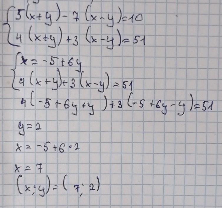
Розв'яжіть систему рівнянь 5(х+у)-7(х-у)=10 4(х+у)+3(х-у)=51

Ответы

Ответ дал: itsdimik10
2

Ответ:

Прикрепил выше.

Объяснение:

Прикрепил выше.

Приложения:
Вас заинтересует