• Предмет: Алгебра
  • Автор: aalinaa7
  • Вопрос задан 7 лет назад

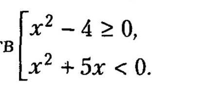
решите совокупность квадратного неравенства:​

Приложения:

Ответы

Ответ дал: manyny06
0

Ответ:

решение смотри на фотографии

Приложения:
Вас заинтересует