• Предмет: Химия
  • Автор: kingg
  • Вопрос задан 11 лет назад

Какой объем кислорода потребуется для сжигания 32 г серы

Ответы

Ответ дал: Маруся526
0

 мварщшкпщкугпх щуктгпх9угпху9гпхф90угп хтфгпхфухпеуыхфпа

Приложения:
Ответ дал: Lenysiya
0

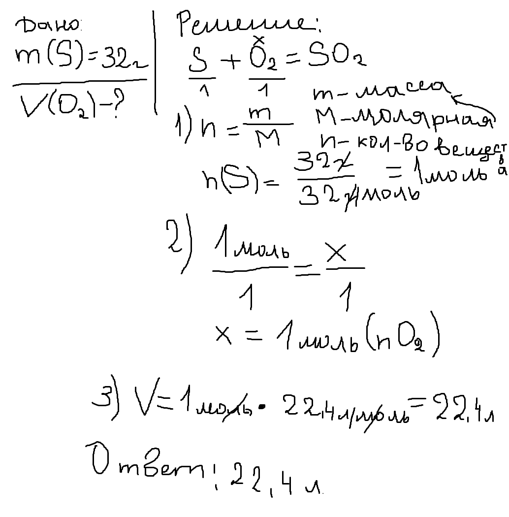
                                                       Решение

S+O₂-->SO₂

Сначала нужно найти колличество серы по формуле n=frac{m}{M}, где n-колличество вещества, m-масса, M-молярная масса (её находят, пользуясь таблицей Мегделеева).

n(S)=32г:32г/моль=1моль

Теперь смотрим на коэффициенты перед серой и кислородом. Т. к. перед ними нет никаких цифр, значит, коэффициент перед сарой 1, а перед кислородом тоже 1. Следовательно колличество кислорода равно колличеству серы.

n(O₂)=n(S)=1моль

Теперь можем найти объём кислорода по формуле: V=ncdot V_{m}, где

V-объём, n-колличество, V_{m}- молярный объём (у газов он всегда равен 22,4 л/моль).

V(O₂)=1моль·22,4л/моль=22,4 л

Ответ: 22,4 л.

 Если нужно, то "Дано" во вложении:

 

 

Приложения:
Вас заинтересует