• Предмет: Алгебра
  • Автор: Sanekbro1234
  • Вопрос задан 7 лет назад

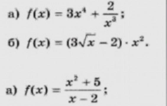
знайти похідну функцій на малюнку. Дам 40 балів

Приложения:

Ответы

Ответ дал: nepustilipoeta
2

(u±v)'=u'±v'

(u*v)'=(u'v+uv')

(u/v)'=(u'v-uv')/v²

(√x)'=1/(2√x)(xⁿ)'=n*xⁿ⁻¹

(const)'=0

a) f'(x)=(3x⁴+2/x³)'=12x³-6/x⁴

b)  f'(x)=(3/(2√x))*x²+2x*(3√x-2)=(3x²/(2√x))+2x*(3√x-2)

c)  f'(x)=(2x*(x-2)-(x²+5))/(x-2)²=(2x²-4x-x²-5)/(x-2)²=(x²-4x-5)/(x-2)²

Вас заинтересует