• Предмет: Математика
  • Автор: emrf
  • Вопрос задан 11 лет назад

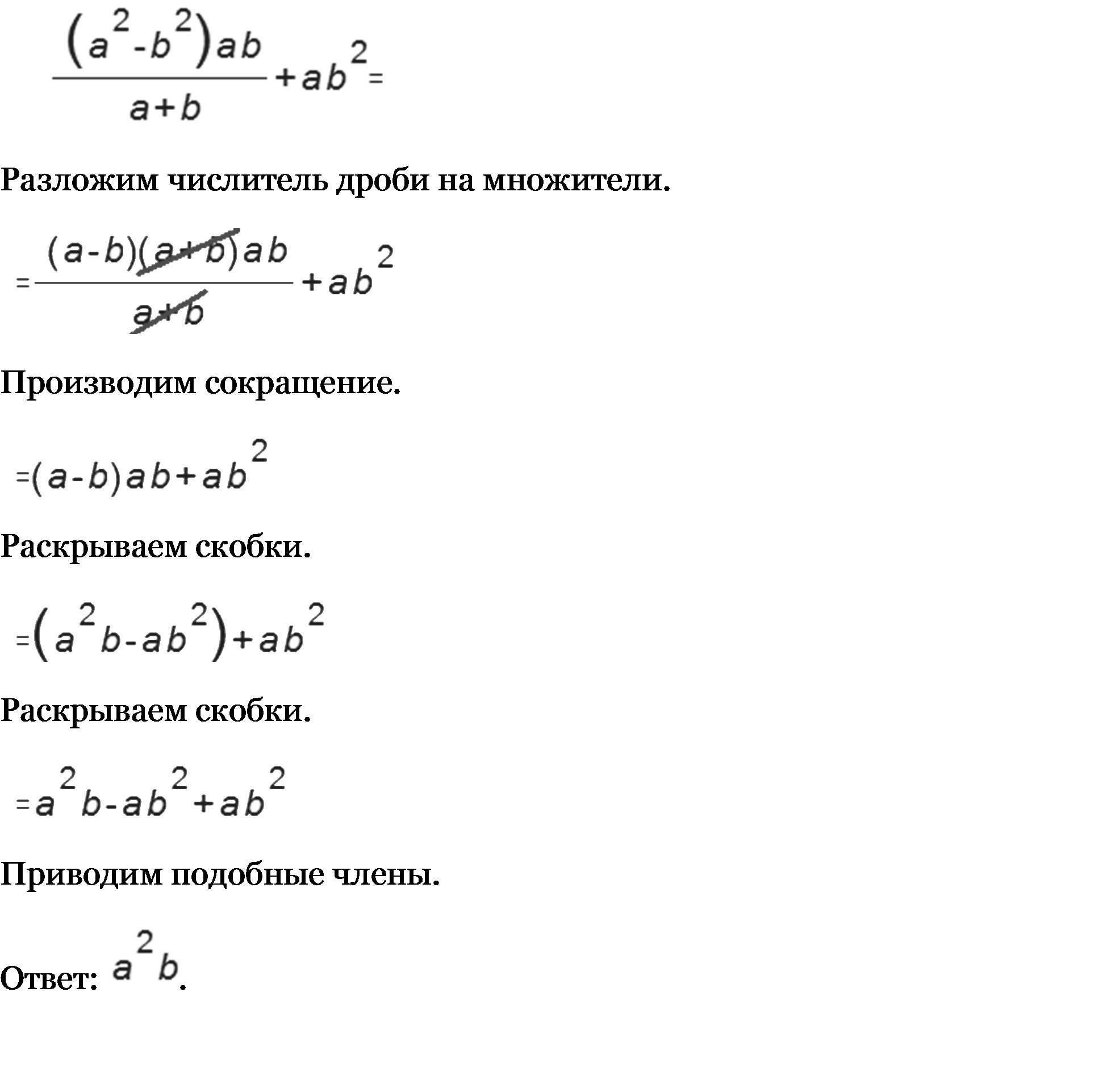
 упростите выражение!!!(a2-b2)ab разделить на a+b  и к этой дроби прибавить ab2 пожалуйста с объяснением!!!

Ответы

Ответ дал: Маруся526
0

ргвщвшмщомшооооооооооооооооооооооооооооаапааааааа

Приложения:
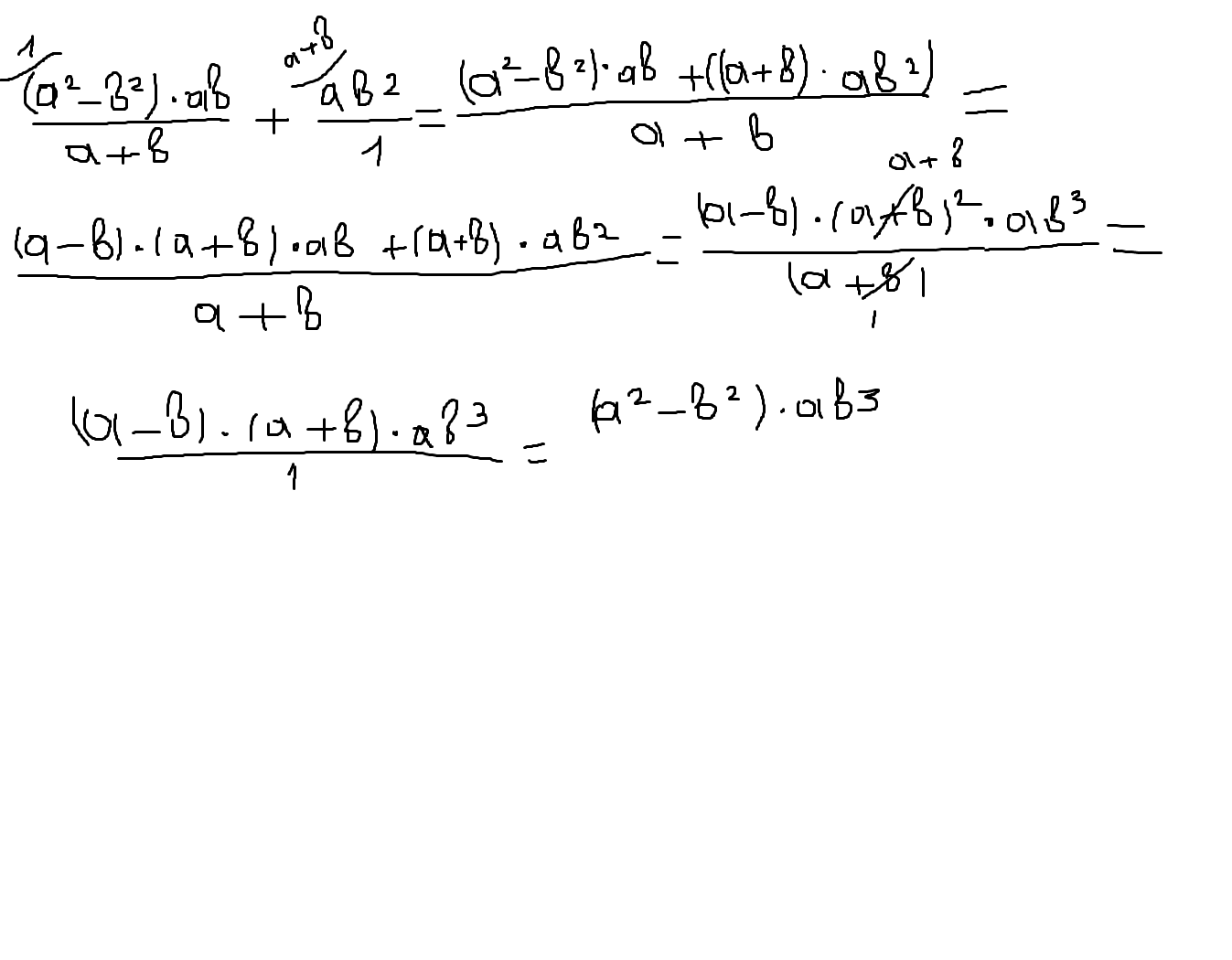
Ответ дал: triolana
0

файл

============================ 

Приложения:
Вас заинтересует