Ответы
Ответ дал:
0
Ответ:
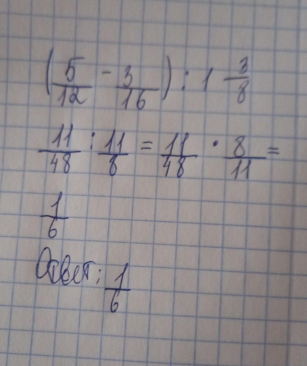
На фотке решение,
Ответ: 1/6,
Пошаговое объяснение:
Хорошего вечера, успехов в учёбе,
Приложения:

Вас заинтересует
2 года назад
2 года назад
2 года назад
8 лет назад
9 лет назад
9 лет назад