• Предмет: Математика
  • Автор: lydmilaeshmeeva83
  • Вопрос задан 7 лет назад

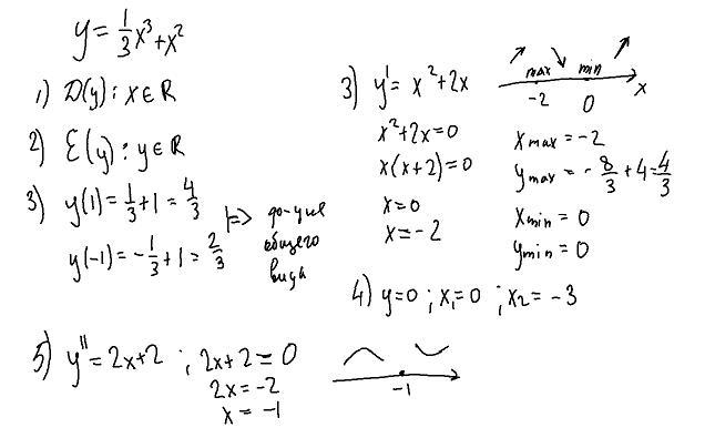
Исследовать и построить график функции y=1/3x³+x². Помогите пожалуйста

Ответы

Ответ дал: romanforever14
1

/////////////////////////////

Приложения:
Вас заинтересует