Помогите Срочно Физика 9 класс
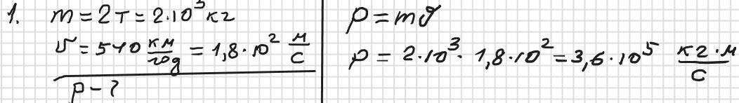
1. Який імпульс літального апарату масою 2 т, швидкість якого становить 540 км/год.
2. На горизонтальній підлозі рухаються два возики масами 100 та 40 кг.
Важчий возик має швидкість 4 м/с, його наздоганяє інший на швидкості 5 м/с.
Яка буде їх швидкість після автозчеплення?
Яка буде їх швидкість, при умові руху назустріч один до одного?
Виконайте повне розв'язання з малюнком, векторним рівнянням ....
Ответы
Ответ дал:
1
Відповідь: 1. 360000 (кг·м)/с 2. а) 4,29 м/с; б) 1,43 м/с
Пояснення:
Приложения:


Вас заинтересует
2 года назад
2 года назад
2 года назад
2 года назад
8 лет назад