• Предмет: Физика
  • Автор: t1k1t4k1
  • Вопрос задан 7 лет назад

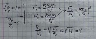
Як змінилася відстань між двома точковими зарядами, якщо сила їх
взаємодії зменшилася в 16 разів?

Ответы

Ответ дал: zybkov1950
0

Відповідь: Збільшилася у 4 рази

Пояснення:

Приложения:
Вас заинтересует