• Предмет: Математика
  • Автор: stervoznayamany
  • Вопрос задан 7 лет назад

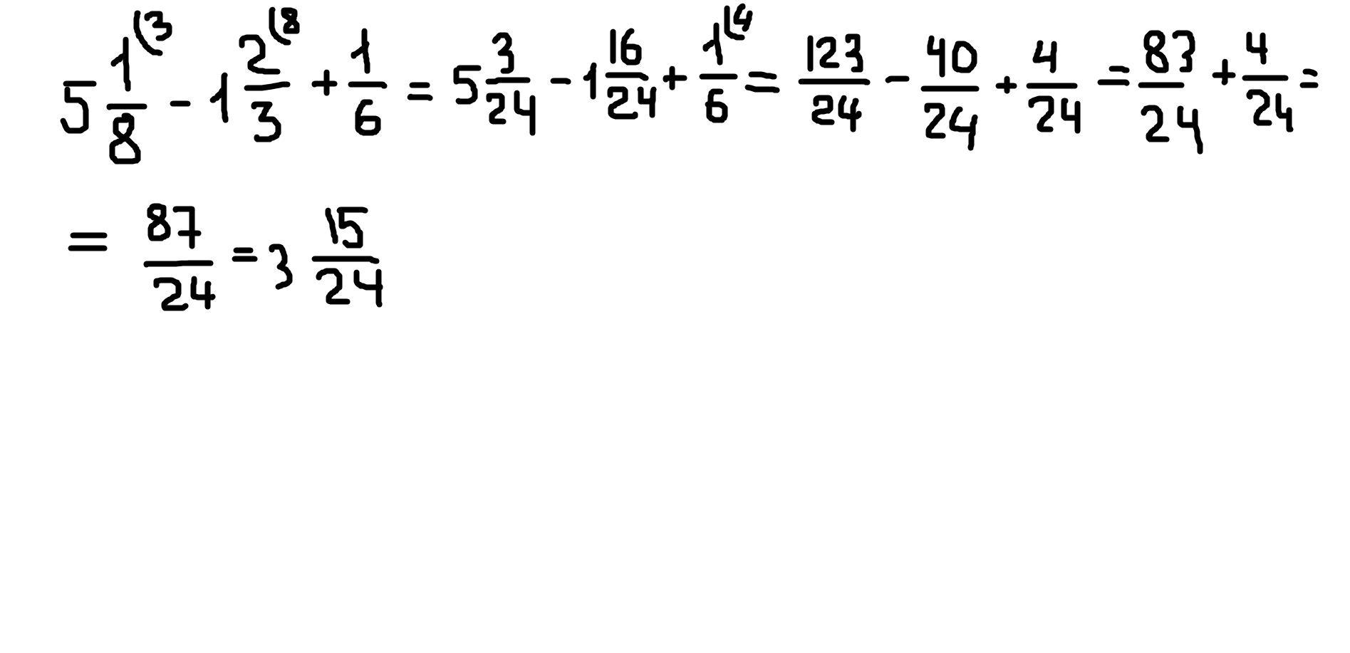
5 1\8-1 2\3+1\6 как вычеслить ?

Ответы

Ответ дал: TutorOnline
0

Ответ:

Пошаговое объяснение: на фото.

Приложения:
Ответ дал: Аноним
0

\displaystyle 5\frac{1}{8}-1\frac{2}{3}+\frac{1}{6}=\frac{41}{8}-\frac{5}{3}+\frac{1}{6}=\frac{29}{8}=3\frac{5}{8}=3,625

Вас заинтересует