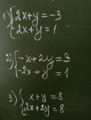
Ax+y=-3 2x+y = } { = Pre +X-J6 -2y - 2x + = 1 3) x+y = 8 ax+3y = 8ПЖ ПЖ ПЖ ПЖ СРОЧНО НИТУ МЕНЯ УБЬЁТ МАТЕМАТИЧКА
Приложения:

Ответы
Ответ дал:
0
Ответ:
1) 4
2)9
3)5
Пошаговое объяснение:
- ер марглгогоир
Приложения:

Аноним:
чел там нужны координаты
Вас заинтересует
2 года назад
2 года назад
8 лет назад
8 лет назад
9 лет назад