Ответы
Ответ дал:
1
Пояснение:
Порядок действий при вычислениях:
1) Действия в скобках:
а) Умножение и деление;
б) Сложение и вычитание;
2) Умножение и деление;
3) Сложение и вычитание.
Решение/ответ:
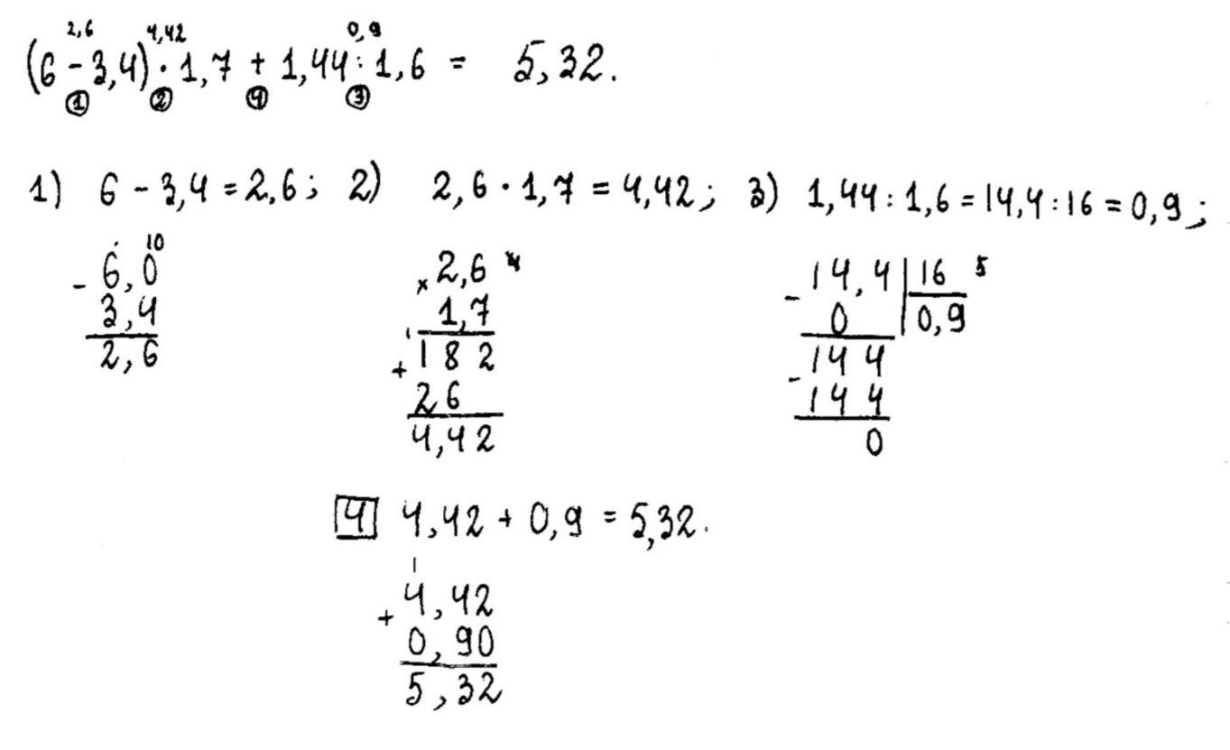
Смотреть в прикреплённой фотографии.
__________
Удачи Вам! :)
Приложения:

Ответ дал:
1
Ответ:сделайте лучшим
TankistBlitz2020 он заслуживает
ответ 2.42
а если по действием то вот:
1)6-3.4=2.6
2)2.6:1.7=1.52
3) 1.44: 1.6=0.9
4)1.52+0.9=2.42
Пошаговое объяснение: спасибо )
Вас заинтересует
2 года назад
2 года назад
2 года назад
8 лет назад
9 лет назад
9 лет назад
а если по действием то вот:
1)6-3.4=2.6
2)2.6:1.7=1.52
3) 1.44: 1.6=0.9
4)1.52+0.9=2.42