Ответы
Ответ дал:
1
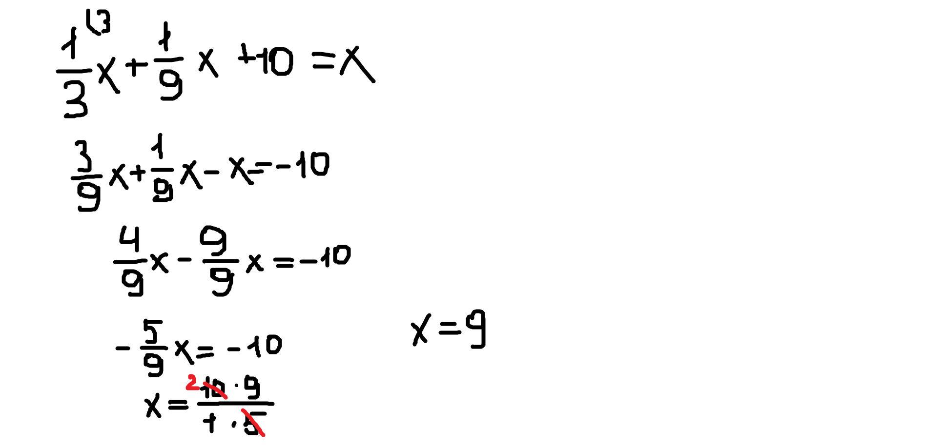
Ответ: х=9
Пошаговое объяснение: на фото.
Приложения:

Ответ дал:
0
Вас заинтересует
2 года назад
2 года назад
8 лет назад
9 лет назад