• Предмет: Алгебра
  • Автор: gjbdtjdsf
  • Вопрос задан 7 лет назад

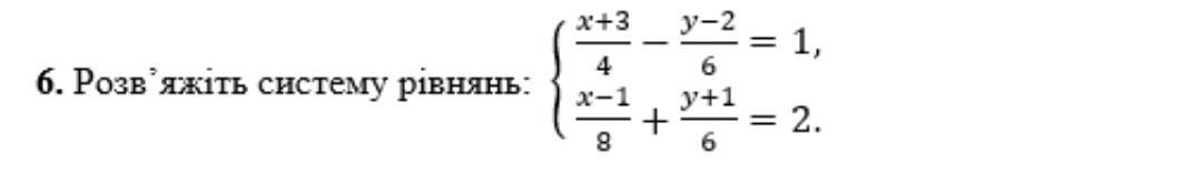
6. Розв'яжіть систему рівнянь:
 \frac{x + 3}{4}  - \:  \frac{y - 2}{6 \:}

Приложения:

Ответы

Ответ дал: Аноним
1

\displaystyle \left \{ {{\frac{x+3}{4}-\frac{y-2}{6}=1  } \atop {\frac{x-1}{8}+\frac{y+1}{6}=2  }} \right. \\\\\left \{ {{3x-2y=-1} \atop {3x+4y=47}} \right. \\\\\left \{ {{3x-2y=-1} \atop {-3x-4y=-47}} \right. \\\\-6y=-48\\y=8\\3x-2*8=-1\\x=5\\(x,y)=(5,8)

Вас заинтересует