• Предмет: Алгебра
  • Автор: technodom1472xt
  • Вопрос задан 7 лет назад

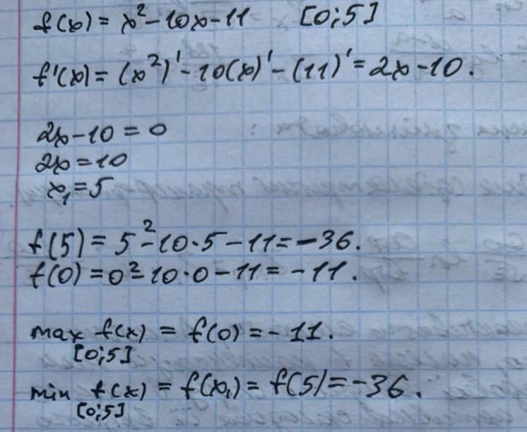
Найдите наибольшее и наименьшее значение функции f(x)=x^2-10x-11 на отрезке [0,5]​

Ответы

Ответ дал: yevheniiavz
1

.............................

Приложения:

technodom1472xt: спасибо, что заметил, а то многие брезгливые с 15-ю балломи
yevheniiavz: ну не все знают как решать, либо же для них 15 баллов для этого задания мало) каждому своё
technodom1472xt: Что-жь надеюсь, что всё верно, поскольку я не проходил толком...
yevheniiavz: должно быть всё верно, потом поделитесь результатом)
technodom1472xt: хорошо
Вас заинтересует