• Предмет: Алгебра
  • Автор: muhomedanovasabrina
  • Вопрос задан 7 лет назад

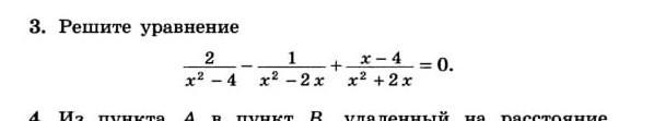
помогите пожалуйста ​

Приложения:

Ответы

Ответ дал: volosniksonia
1

Ответ:

На фото....

Объяснение:

На фото....

Приложения:
Ответ дал: Аноним
0

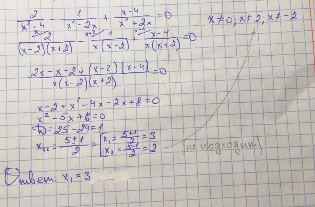
Держи решение:

:-)

.......

Приложения:
Вас заинтересует