• Предмет: Алгебра
  • Автор: muhomedanovasabrina
  • Вопрос задан 7 лет назад

Помогите пожалуйста

Приложения:

Ответы

Ответ дал: sarkazm298
0

Ответ:

х=3

Объяснение:

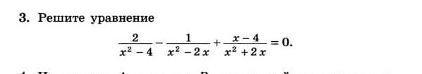
2/(x ^ 2 - 4) - 1/(x ^ 2 - 2x) + (x - 4)/(x ^ 2 + 2x) = 0

Найти область допустимых значений

2 x^ 2 -4 - 1 x^ 2 -2 x + x-4 x^ 2 +2x =0,x=-; , x ne2,x ne0

Разложить выражения на множители

2/((x - 2)(x + 2)) - 1/(x(x - 2)) + (x - 4)/(x(x + 2)) = 0

Преобразовать выражение

2x-(x+2)+(x-2)*(x-4) x*(x-2)*(x+2) =0.

Упростить

(2x - (x + 2) + x ^ 2 - 4x - 2x + 8)/(xx(x - 2)(x + 2)) = 0

(- x - 2 + x ^ 2 - 4x + B)/(x(x - 2)(x + 2)) = 0

Привести подобные члены Вычислить

(- 5x + 6 + x ^ 2)/(x(x - 2)(x + 2)) = 0

Поменяйте порядок слагаемых или

(x ^ 2 - 5x + 6)/(x(x - 2)(x + 2)) = 0

Запишите выражение

(x ^ 2 - 2x - 3x + 6)/(xx(x - 2) * x(x + 2)) = 0

Разложить выражения на множители

(x(x - 2) - 3(x - 2))/(x(x - 2)(x + 2)) = 0

Разложите выражение на множители

((x - 2)(x - 3))/(x(x - 2)(x + 2)) = 0

Сократить дробь

(x - 3)/(x(x + 2)) = 0

Приравнять числитель к 0

x - 3 = 0

Перенести константу в правую часть равенства

x = 3 , x ≠-2,x ≠2 , x ≠0

х=3


sarkazm298: можно лучший ответ ?
Вас заинтересует