Ответы
Ответ дал:
1
Ответ:
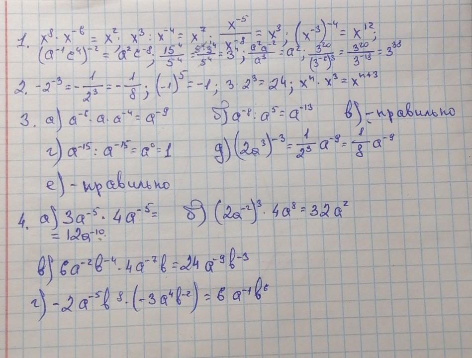
На фото...........................
Приложения:

vanya0813:
спасибо большое =)
Вас заинтересует
2 года назад
2 года назад
2 года назад
2 года назад
8 лет назад
8 лет назад
9 лет назад
9 лет назад