• Предмет: Математика
  • Автор: PeTa4eK
  • Вопрос задан 7 лет назад

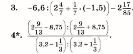
решите пожалуйста данную задачу

Приложения:

Ответы

Ответ дал: sarkazm298
0

Ответ:

дай пожалуйста лучший ответ

Пошаговое объяснение:

- 6, 6 / (2 4/7 + 1/7 * (- 1, 5)) - 2 17/85

Преобразовать выражения

- 33/5 / (18/7 + 1/7 * (- 3/2)) - 187/85

Вычислить

- 33/5 / (18/7 - 3/14) - 187/85

Вычислите разность

- 33/5 / (33/14) - 187/85

Умножить на обратное значение

- 33/5 * 14/33 - 187/85

Упростите

Умножить на обратное значение

- 33/5 * 14/33 - 187/85

Упростите выражение

- 1/5 * 14 - 187/85

Вычислить

- 14/5 - 187/85

Вычислить

Решение

- 5

((2 9/13 - 8.75) + (2 9/13 + 8.75))/((3, 2 - 1 1/3) + (3, 2 + 1 1/3))

Преобразовать выражения

35 5 + + 13 4 13 35 13 35 4 +

16

5

4

16 4 + 5

Вычислите разность Вычислите сумму

(- 315/52 * 595/52)/(28/15 * 68/15)

Умножить на обратное значение

- 315/52 * 52/595 28 15 15 68

Упростить выражения

(- 9 * 1/17)/(7 * 1/17)

Сократить дробь

- 9/7

Перепишите дробь

Решение

- 9/7

Вас заинтересует