• Предмет: Математика
  • Автор: hntaumumu
  • Вопрос задан 7 лет назад

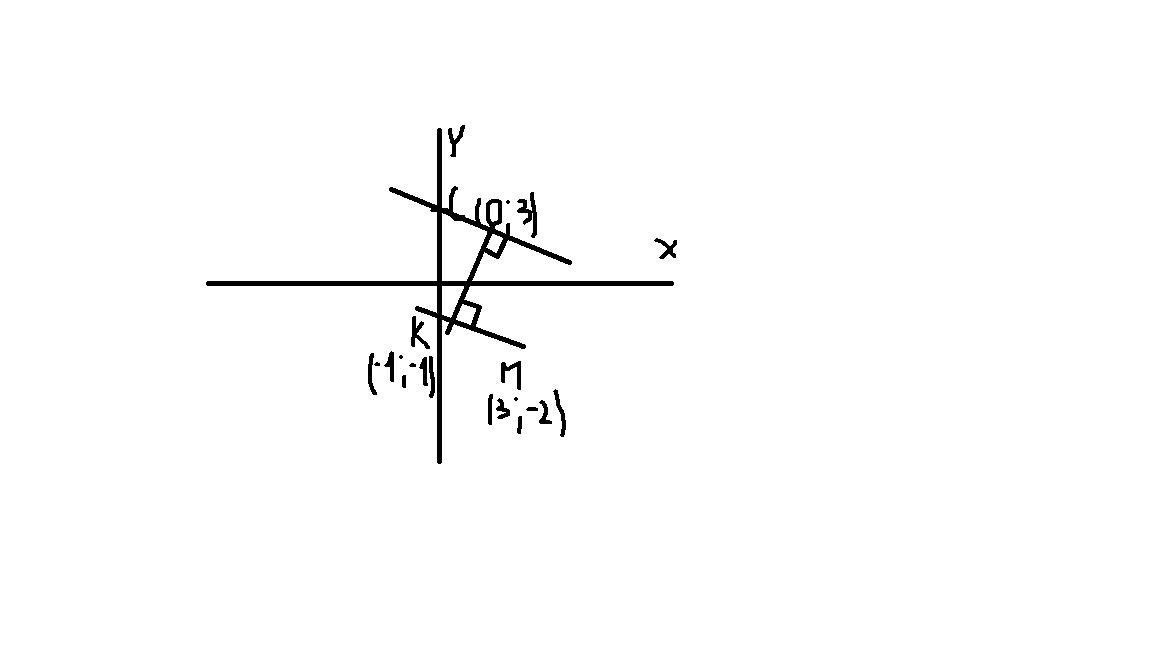
Дам 30 баллов. Очень надо проверить, я в себе не уверена​

Приложения:

Ответы

Ответ дал: alisherhakimdjanov
0

Пошаговое объяснение:

Овооомаооааолулсь43545ивтво

Ответ дал: Hikiroshiba
1

Ответ:

Пошаговое объяснение:

Приложения:

hntaumumu: спасибо большое
Вас заинтересует