• Предмет: Математика
  • Автор: maximwhite9211
  • Вопрос задан 7 лет назад

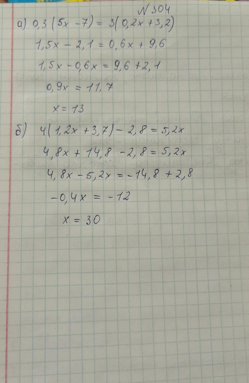
304(а,б),305,306,309,308.
Дам 50 баллов.

Приложения:

Ответы

Ответ дал: bnm0402iua
0

Пошаговое объяснение:

Объяснение:..........

Приложения:
Вас заинтересует