• Предмет: Математика
  • Автор: 142421852
  • Вопрос задан 7 лет назад

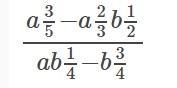
Вычислите значение выражения ПРИ a=27 b=81 Помогите!!!!!!!!!!!!!!!!!!!!!!!!!!!

Приложения:

Ответы

Ответ дал: lizabizzle
2

Ответ:

Надеюсь, все понятно

Приложения:
Вас заинтересует