• Предмет: Математика
  • Автор: kolya20091120
  • Вопрос задан 7 лет назад

решите срочно уровнения
5x+14=26
12x-7=81
x-18=108
36-x=15
20-3x=16
4x-30=0​

Ответы

Ответ дал: bahtinisonaimova7
1

Ответ:

lapshovromaavata
a)5x+14=26
5x=26-14
5x=12
x=12/5=2.4
б)20-3x=16
-3x=-4
x=4/3

Пошаговое объяснение: остальные не смогла

Ответ дал: larisaserova53
1

Ответ:

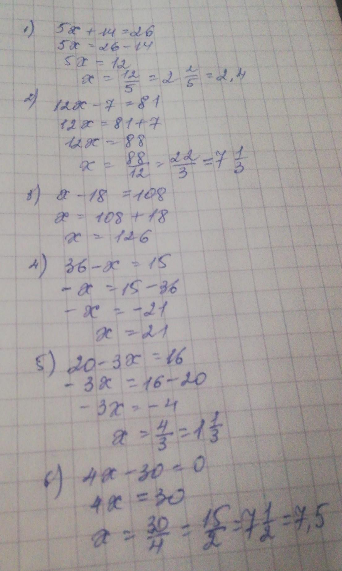
Смотри решение на фото..

Приложения:
Вас заинтересует