• Предмет: Алгебра
  • Автор: aliya9516
  • Вопрос задан 7 лет назад

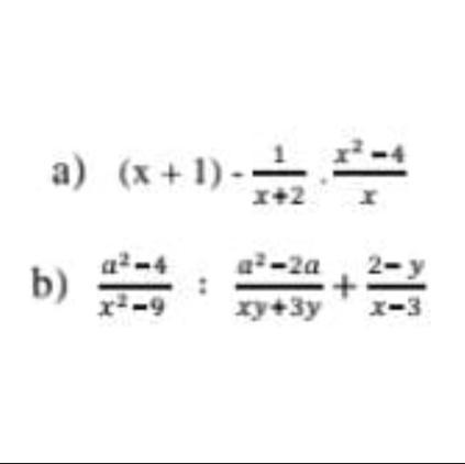
6. Упростите выражение:

Приложения:

Ответы

Ответ дал: Alnadya
1

Решение.

Воспользуемся формулой разности квадратов .

\displaystyle \bf a)\ (x+1)\cdot \frac{1}{x+2}\cdot \frac{x^2-4}{x}=\frac{(x+1)(x-2)(x+2)}{(x+2)\cdot x}=(x-1)(x-2)=x^2-3x+2\\\\\\b)\ \frac{a^2-4}{x^2-9}:\frac{a^2-2a}{xy+3y}+\frac{2-y}{x-3}=\frac{(a-2)(a+2)}{(x-3)(x+3)}\cdot \frac{y\, (x+3)}{a\, (a-2)}+\frac{2-y}{x-3}=\\\\\\=\frac{(a+2)\cdot y}{(x-3)\cdot a}+\frac{2-y}{x-3}=\frac{(a+2)\cdot y+a\cdot (2-y)}{(x-3)\cdot a}=\frac{ay+2y+2a-ay}{(x-3)\cdot a}=\\\\\\=\frac{2\cdot (y+a)}{a\cdot (x-3)}=\frac{2y+2a}{ax-3a}

Вас заинтересует