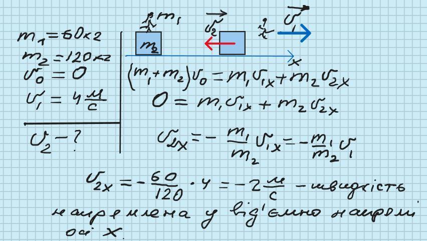
Людина масою 60кг зістрибує з візка масою 120КГ, що спочатку був нерухомим, зі швидкістю 4м/с. У якому напрямку і з якою швидкістю почне рухатись візок?
ПОМОГИТЕ І ПОЖАЛУЙСТА С РИСУНКОМ
Ответы
Ответ дал:
1
Відповідь: 2 м/с, у напрямку протилежному до напрямку руху людини
Пояснення:
Приложения:

Вас заинтересует
2 года назад
2 года назад
2 года назад
8 лет назад
9 лет назад