• Предмет: Алгебра
  • Автор: Аноним
  • Вопрос задан 7 лет назад

30 Баллов. Решите пожалуйста. 7 Класс

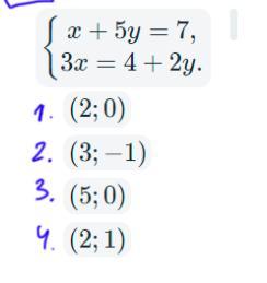
Приложения:

Ответы

Ответ дал: manyny06
1

Ответ:

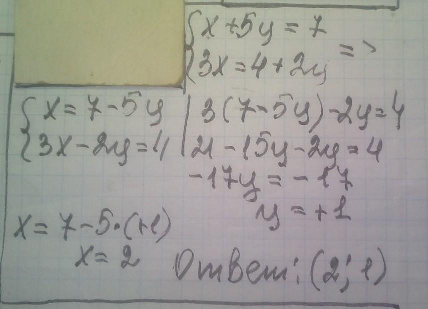
решение смотри на фотографии

Приложения:
Ответ дал: Ляляляля109
1

x + 5y = 7 \\  \\  3x = 4 + 2y \\  \\  \\ x = 7 - 5y \\  \\ 4 + 2y - 3x = 0 \\  \\  \\ x = 7 - 5y \\  \\ 4 + 2y - 3(7 - 5y) = 0 \\  \\  \\ x = 7 - 5y \\  \\ 4 + 2y - 21 + 15y = 0 \\  \\  \\ x = 7 - 5y \\  \\ 17y - 17 = 0 \\  \\  \\ x = 7 - 5y \\  \\ 17y = 17 \\  \\  \\ x = 7 - 5y \\  \\ y = 1 \\  \\  \\ x = 7 - 5 \times 1 \\  \\ y = 1 \\  \\  \\ x = 2 \\  \\ y = 1

Ответ. 4(2;1)

Вас заинтересует