• Предмет: Алгебра
  • Автор: BullZnanija
  • Вопрос задан 7 лет назад

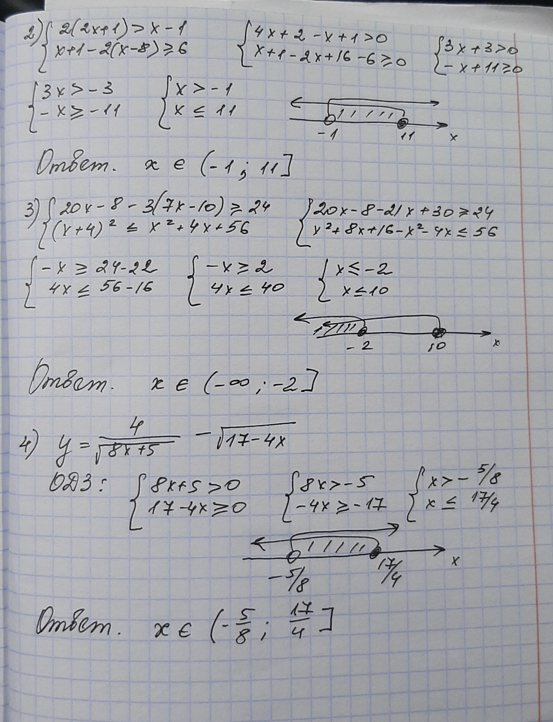
всё на фото даю 40 балов срочно

Приложения:

Ответы

Ответ дал: vladislavstruk58
0

Ответ:

відповіді я підкреслив

Приложения:
Ответ дал: Evreika77
0

Ответ:

Объяснение:

Смотри

Приложения:
Вас заинтересует