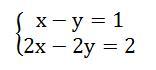
ПОМОГИТЕ ПЖ СРОЧНО Скільки розв'язків має система рівнянь
-жодного
-безліч
-один
-інша відповідь
Приложения:

Ответы
Ответ дал:
0
Відповідь:
Інша відповідь
2
(1,5;-1) та (1,5;1)
Пояснення:
alenka2007ne:
спасибо большое)))
Вас заинтересует
2 года назад
2 года назад
2 года назад
8 лет назад