• Предмет: Алгебра
  • Автор: kekiki44
  • Вопрос задан 7 лет назад

помогите срочноооо...​

Приложения:

Ответы

Ответ дал: MuhammadGulu
2

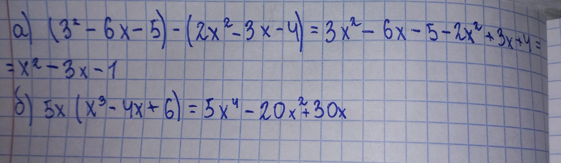
a) Ответ: x²-3x-1

(3 {x}^{2}  - 6x - 5) - (2 {x}^{2} - 3x  - 4) = 3 {x}^{2}  - 6x - 5 - 2 {x}^{2}  + 3x + 4 =  {x}^{2}  - 3x - 1

б) Ответ: 5x⁴-20x²+30

5x( {x}^{3}  - 4x + 6) = 5 {x}^{4}  - 20 {x}^{2}  + 30

в) Ответ: 2x²-x-6

(x - 2)(2x + 3) = 2 {x}^{2}  + 3x - 4x - 6 = 2 {x}^{2}  - x - 6

г) Ответ: y³+3y²-2y-8

(y + 2)( {y}^{2}  + y - 4) =  {y}^{3}  +  {y}^{2}  - 4y + 2 {y}^{2}  + 2y - 8 =  {y}^{3}  + 3 {y}^{2}  - 2y - 8

Ответ дал: lolayoulhhghh
1

Ответ:

Смогла решить только а,б.

Ответ смотрите на фотографии!))

УДАЧИ!;)

Приложения:
Вас заинтересует