• Предмет: Геометрия
  • Автор: fisovich
  • Вопрос задан 7 лет назад

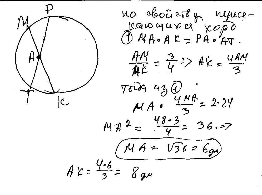
Хорды МК и РТ пересекаются в точке А. Найдите длину АМ, если АР = 2 дм, АТ = 24 дм, АМ : КА = 3 : 4.

Ответы

Ответ дал: tihonovaangelina280
0

Объяснение:

Хорды МК и РТ пересекаются в точке А. Найдите длину АМ, если АР = 2 дм, АТ = 24 дм, АМ : КА = 3 : 4.

Приложения:
Вас заинтересует