• Предмет: Математика
  • Автор: Almazovva
  • Вопрос задан 7 лет назад

катер прошел по течению реки 150 км, а против течения реки 60 км. Найти собственную скорость катера, если скорость течения реки 5 км/ч и на весь путь он затратил 10 часов.​

Ответы

Ответ дал: Гурлей
1

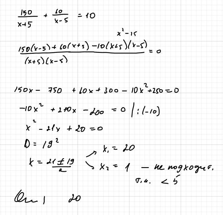
Ответ:

Пошаговое объяснение:

                            V              t              S

по течению       х+5   150/(x+5)        150

против теч         х-5     60/(x-5)         60

150/(x+5)+60/(x-5) = 10

см приложение

* 1 не подходит, так как если бы скорость была 1, то против течения скорость была бы 1-5 = -4, т.е. отрицательная, и катер тянула бы назад, тогда он точно бы не смог проплыть ни одного километра

Приложения:

Almazovva: спасибо ❤️
Вас заинтересует