• Предмет: Алгебра
  • Автор: UTONJA
  • Вопрос задан 10 лет назад

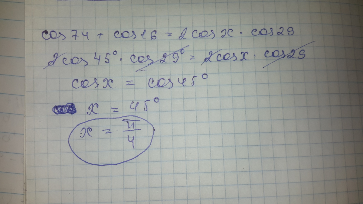
Найдите х (в радианах), если х - угол 1 четверти и cos74+cos16=2cosx*cos29

Ответы

Ответ дал: prostomama1
0
"""""""""""""""""""""""""""""
Приложения:
Вас заинтересует