• Предмет: Математика
  • Автор: dimalisyak4
  • Вопрос задан 7 лет назад

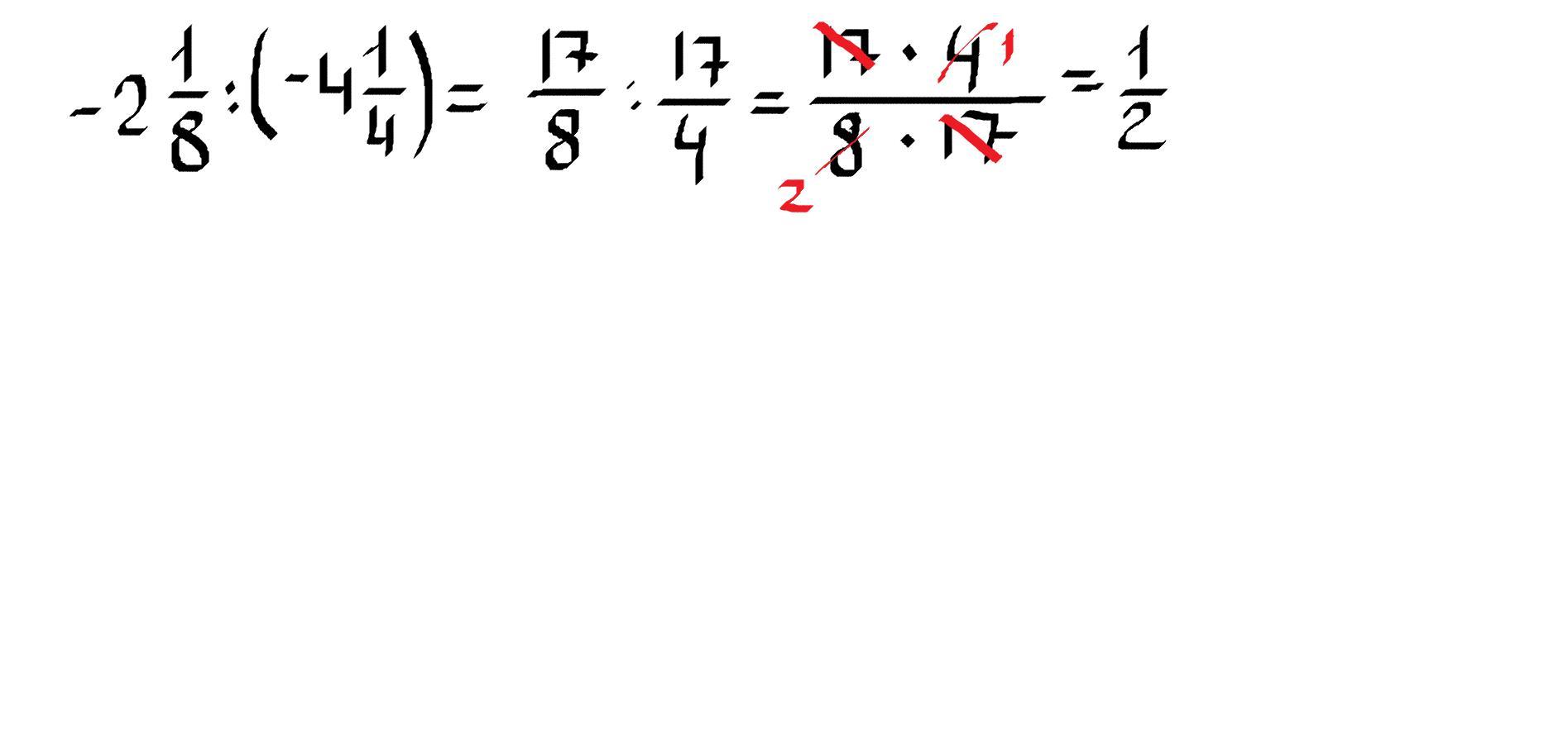
-2 1/8 : (-4 1/4) ПОМОЖІІІІІІІТЬ

Ответы

Ответ дал: TutorOnline
0

Ответ: 1/2

Пошаговое объяснение: на фото↓↓↓

Приложения:
Ответ дал: Аноним
0

\displaystyle -2\frac{1}{8}:(-4\frac{1}{4})=-\frac{17}{8}:(-\frac{17}{4})=\frac{17}{8}*\frac{4}{17}=\frac{1}{2}=0,5

Вас заинтересует