• Предмет: Математика
  • Автор: Аноним
  • Вопрос задан 7 лет назад

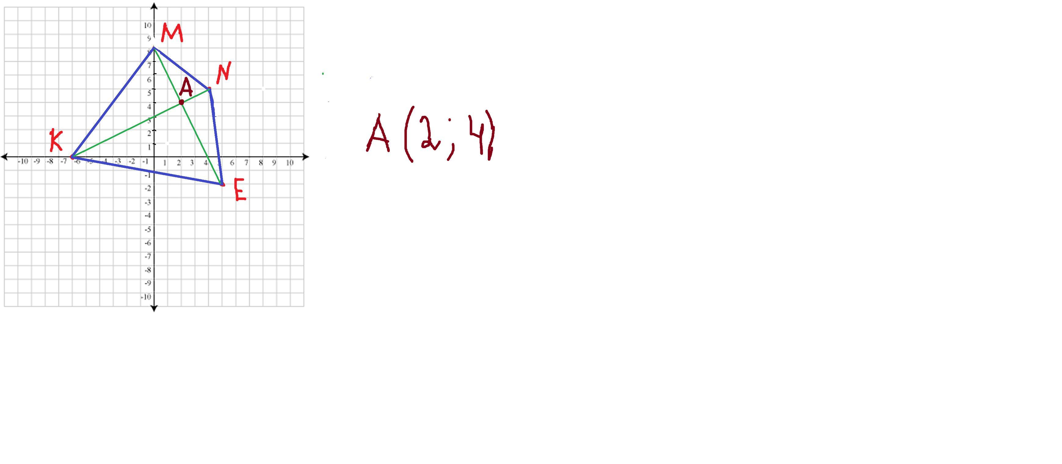
Постройте четырёхугольник MNEK ,если M(0;8),N(4;5),E(5;-2),K(-6;0)
Найдите координаты точки пересечения его диагоналей

Ответы

Ответ дал: nadaranneva
0

Ответ:

Координаты точки пересечения (2;4)

Приложения:
Ответ дал: parus77
1

Ответ:

координаты точки пересечения его диагоналей А(2;4)

Пошаговое объяснение:

рисунок внизу

Приложения:
Вас заинтересует