• Предмет: Физика
  • Автор: sakurafuren61
  • Вопрос задан 7 лет назад

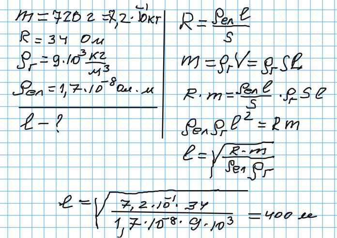
HELP! маса мідного провідника становить 720 г, його електричний опір дорівнює 34 Ом. Визначте довжину провідника. Вважайте, що густина міді дорівнює 9000кг/м3,а питомий опір міді 1.7*10-8 Ом*м​

Ответы

Ответ дал: zybkov1950
1

Відповідь: 400 м

Пояснення:

Приложения:
Вас заинтересует