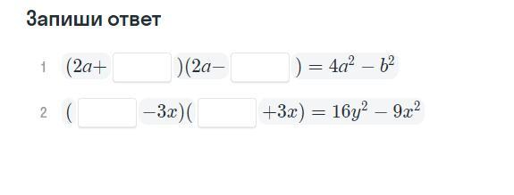
Нужен ответ в течение 30-50 минут. (3 задания-90 баллов(все свои балы)) Пожалуйста помогите с алгеброй! Тема: "Разложение разности квадратов на множители"
Приложения:



Ответы
Ответ дал:
1
В уравнении х=1
Надеюсь успел по времени)
Надеюсь успел по времени)
Приложения:

Miazik:
спасибо
Вас заинтересует
2 года назад
2 года назад
2 года назад
8 лет назад
8 лет назад
9 лет назад