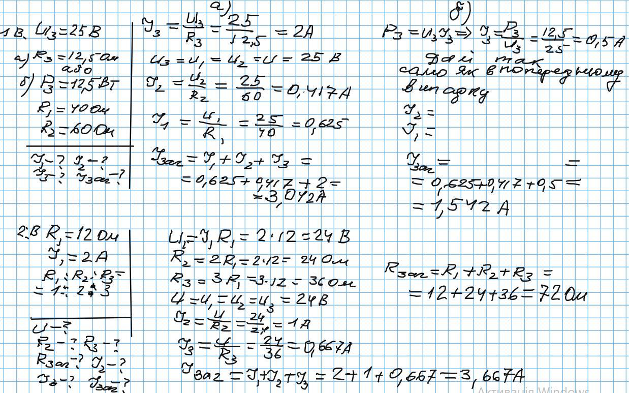
U3=25В, R3= 12,5 Вт; R1=40 Ом; R2=60 Ом. Визначте струми на всіх ділянках кола.
Варіант 2
Для кола, наведеного нижче, R1=12 Ом, I1=2 А, R1: R2: R3=1:2:3.
Визначте напруги на затискачах колаU, опори R1, R2, RОБЩ, струми I2, I3 та загальний струм I.
Приложения:

zybkov1950:
R3= 12,5 Вт??? Має бути або Р3= 12,5 Вт, або R3= 12,5 Ом. То як там в умові?
Ответы
Ответ дал:
0
Відповідь: Див. додаток
Пояснення:
Приложения:

Вас заинтересует
2 года назад
2 года назад
2 года назад
2 года назад
8 лет назад