• Предмет: Алгебра
  • Автор: Miazik
  • Вопрос задан 7 лет назад

Нужен ответ в течение 15-25 минут. (1 задание-30 баллов(все свои балы)) Пожалуйста помогите с алгеброй! Тема: "Разложение разности квадратов на множители"

Приложения:

Ответы

Ответ дал: patalahadara4
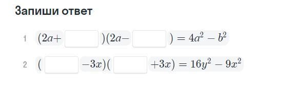
1

Ответ:

1) (2а+б)(2а-б)

2) (4у-3х)(4у+3х)

Ответ дал: taraschepuramm
1

Відповідь:

Пояснення:

1. В пробел нужно вписать "b" (формула сокращенного умножения, a²-b²=(a-b)(a+b)

2.В пробел нужно вставить "4y" ( формула та же что и в первом уровнении)

Вас заинтересует