• Предмет: Алгебра
  • Автор: lucoktonni
  • Вопрос задан 7 лет назад

Найдите целое решение неравенства 2х²-7х-4≤0 ​

Ответы

Ответ дал: AndreyClassB
2

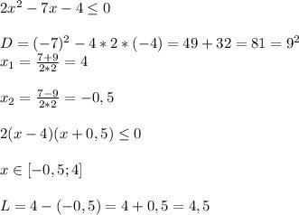
Ответ:

Ответ: 4,5

Объяснение:

Приложения:

AndreyClassB: Подробное решение тут:https://znanija.com/task/2989756
Ответ дал: daraprelj
0

Ответ:

х=0, х=1, х=2, х=3, х=4

Объяснение:

2х²-7х-4 ≤ 0 ​

Найдём корни, приравняв выражение к нулю

2х²-7х-4 = 0 ​
D = (-7)²-4*2*(-4) = 49+32 = 81 = 9²
x₁₂ = (7±9)/(2*2)
x₁ = (7+9)/(2*2) = 16/4 = 4
x₁₂ = (7-9)/(2*2) = -2/4 = -0,5
2х²-7х-4 = 2(х-4)(х+0,5)
2(х-4)(х+0,5) ≤ 0 |:2
(х-4)(х+0,5) ≤ 0

Расставим корни на координатной прямой(см. вложение)

При х < -0,5
Например при х = -1: (-1-4)(-1+0,5) = -5*(-0,5) = 2,5
Знак +

При  -0,5 ≤ х ≤ 4
Например при х = 0: (0-4)(0+0,5) = -4*0,5 = -2
Знак -

При х >4
Например при х = 5: (5-4)(5+0,5) = 1*5,5 = 5,5
Знак +

Нужным промежутком является -0,5 ≤ х ≤ 4, т.э. х∈[-0,5;4]

Целыми решениями являются х=0, х=1, х=2, х=3, х=4

Приложения:
Вас заинтересует