• Предмет: Математика
  • Автор: justartist4
  • Вопрос задан 7 лет назад

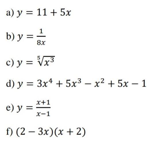
допоможіть будь ласка !!! треба визначити похідну наступних функцій ​

Приложения:

Ответы

Ответ дал: nastaglazneva941
0

Пошаговое объяснение:

Импользуй также фотоматч, там можно узнать ответ и решение

Приложения:
Вас заинтересует