• Предмет: Алгебра
  • Автор: kravcovartem
  • Вопрос задан 7 лет назад

62 БАЛЛА АЛГЕБРА 1 НОМЕР ПРОШУ ПОМОГИТЕ!!

Задание 2.

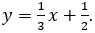
Задана функция

Выполните следующие действия:

а) постройте график функции в удобном масштабе (указав алгоритм построения) (10 баллов);

б) укажите, в каких четвертях лежит график функции (5 баллов);

в) найдите координаты точек пересечения графика с осями координат (9 баллов);

г) определите, принадлежит ли точка C(90; 30,5) графику данной функции (7 баллов).

Приложения:

Ответы

Ответ дал: MizoriesKun
6

Смотри . . . . . .. . . .. ... . . .. . .

Приложения:
Вас заинтересует