• Предмет: Алгебра
  • Автор: hzxsd8rvft
  • Вопрос задан 7 лет назад

алгебра, терміново!!! з розвязком

Приложения:

Ответы

Ответ дал: manyny06
0

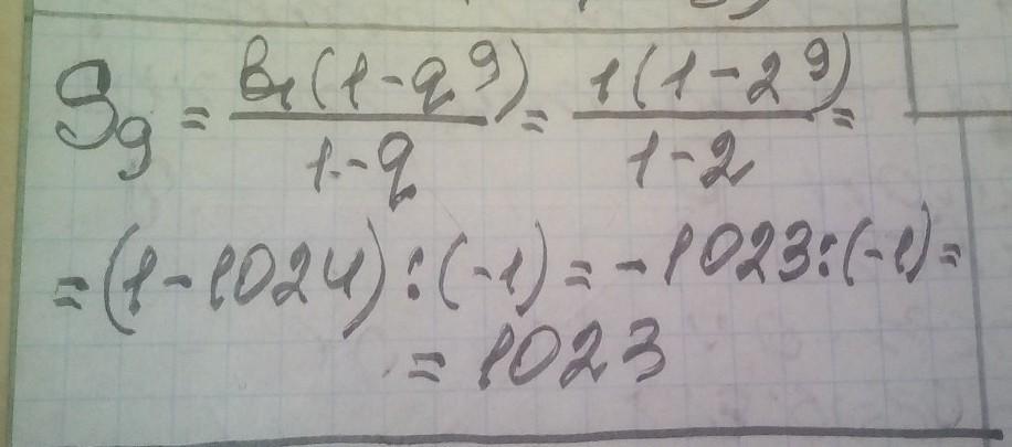
Ответ:

решение смотри на фотографии

Приложения:
Вас заинтересует