• Предмет: Математика
  • Автор: serious01
  • Вопрос задан 7 лет назад

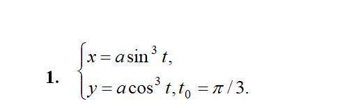
Составить уравнения касательной и нормали к кривой в точке, соответствующей значению параметра t=t0.

Приложения:

Ответы

Ответ дал: ilinhilt
0

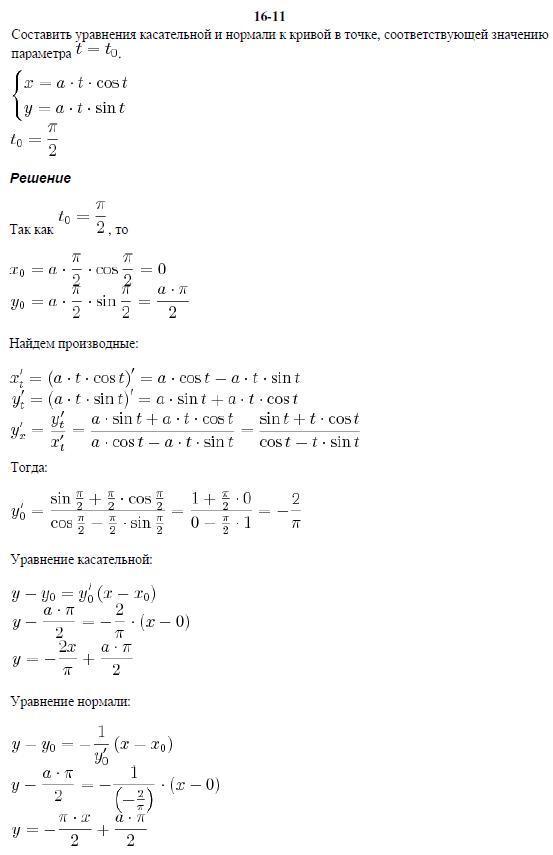
Ответ:вот

Пошаговое объяснение:

Приложения:
Вас заинтересует