Ответы
Ответ дал:
1
Ответ:
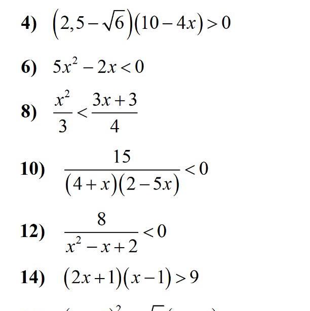
решение на фото)
...............
Приложения:

fxirwice06:
можно лучший ответ)
Вас заинтересует
2 года назад
2 года назад
8 лет назад
9 лет назад