Ответы
                                            Ответ дал: 
                                                                                    
                                        
                                            
                                                
                                                
                                                
                                                    1
                                                
                                            
                                        
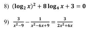
                                    Ответ: на фото
Объяснение:
Приложения:
                     
                            
                    Fhdgib:
                    БЛАГОДАРЮ!!!
                
            Вас заинтересует
                
                        2 года назад
                    
                
                        2 года назад
                    
                
                        2 года назад
                    
                
                        8 лет назад
                    
                
                        9 лет назад
                    
                
                        9 лет назад
                    
                 
                            