Ответы
Ответ дал:
0
Ответ:
решение смотри на фотографии
Приложения:

raminagasanova47:
благодарю!)
Ответ дал:
1
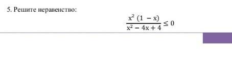
Нули функции в правой части неравенства : x = 0 и x = 1 .
Скобки возле этих чисел будут квадратные .
x = 2 - это число , не входящее в область определения функции , значит возле этого числа скобки будут круглые .
Вас заинтересует
2 года назад
2 года назад
2 года назад
2 года назад
8 лет назад
8 лет назад
9 лет назад
9 лет назад