• Предмет: Математика
  • Автор: lesterix
  • Вопрос задан 7 лет назад

помогите пожалуйста решить.
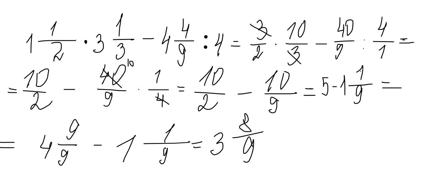
а)1 1/2×3 1/3-4 4/9:4=

б)3 2/7×1 1/3+3 2/7×1 2/3=


помогите пожалуйста очень срочно нужно!!!!​

Ответы

Ответ дал: ilsik14
1

Ответ:

Пошаговое объяснение:

Приложения:

lisi4kaaaa: 3 8/9
Ответ дал: AndreykaPlay228
1

Ответ:

1) 3 целых 8/9

2) 9 целых 6/7

Пошаговое объяснение:

1) 1 1/2*3 1/3-4 4/9:4 = 3/2 * 10/3 - 40/9 : 4 = 30/6 - 40/9*1/4 = 5 - 10/9 = 9* 5/1- 10/9 = (45-10)/9 = 35/9 = 3 целых 8/9

2) 3 2/7 × 1 1/3+3 2/7×1 2/3 = 23/7×4/3+23/7×5/3 = 92/21+115/21 = 207/21 = 9 18/21 = 9 целых 6/7

Вас заинтересует