помогите пж..
найдите одну из первообразных функций F(х) для функции f(x):
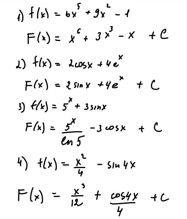
1) f(x)=6x^5+9x^2-1 2)f(x)=2cos x +4e^x
3) f(x)=5^x+3sinx 4) f(x)=x^2/4-sin 4x
Ответы
Ответ дал:
2
смотрите приложение...........
Приложения:

Вас заинтересует
2 года назад
2 года назад
2 года назад
2 года назад
8 лет назад
9 лет назад