Ответы
Ответ дал:
0
Ответ:
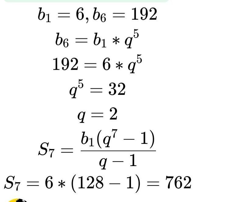
ответ на фото
Объяснение:
надеюсь помог.
Приложения:

Вас заинтересует
2 года назад
2 года назад
2 года назад
2 года назад
8 лет назад
8 лет назад
9 лет назад
9 лет назад