• Предмет: Алгебра
  • Автор: kcaukcau040
  • Вопрос задан 7 лет назад

Срочнооооооооо..............ооооо

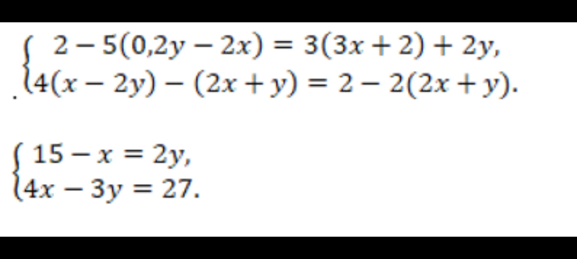
Приложения:

Ответы

Ответ дал: lepessova88
0

Ответ:

x°0,

y=-2

ответ на твой вопрос

Вас заинтересует